A.采光
B.隔热
C.抗震
D.空闯布置合理
已帮助 138 人解答此问题 查看答案及解析
A.房地产征收只能以公共利益为目的
B.房地产征收应严格按照法律规定的程序进行
C.房地产征收应给予公正的补偿
D.房地产征收应征得被征收人同意
已帮助 71 人解答此问题 查看答案及解析
A.净年值
B.费用年值
C.收益年值
D.投资年值
E.现值法
已帮助 89 人解答此问题 查看答案及解析
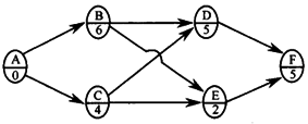
A.工作B、E、F
B.工作C、D、F
C.工作C、E、F
D.工作B、D、F
已帮助 97 人解答此问题 查看答案及解析
A.总监理工程师负责制的原则
B.综合效益的原则
C.独立、自主的原则
D.权责—致的原则
已帮助 84 人解答此问题 查看答案及解析
A.甲级、乙级、丙级
B.一级、二级、三级
C.高级、中级、初级
D.大型、中型、小型
已帮助 109 人解答此问题 查看答案及解析
A.资金周转率法
B.设备费用百分比估算法
C.生产能力指数法
D.造价指标估算法
已帮助 141 人解答此问题 查看答案及解析
A.国有建设用地使用权出让市场是土地一级市场
B.国有建设用地使用权出让的主体可以是国有企事业单位
C.国有建设用地使用权出让有招标、拍卖、挂牌和协议等方式
D.国有建设用地使用权出让是国有建设用地有偿使用的主要方式
已帮助 63 人解答此问题 查看答案及解析
A.1512.0
B.1663.2
C.1814.4
D.1829.5
已帮助 34 人解答此问题 查看答案及解析
A.80
B.90
C.100
D.1 10
已帮助 41 人解答此问题 查看答案及解析