A.融资成本
B.空置率
C.经营成本
D.投资收益率
已帮助 125 人解答此问题 查看答案及解析
A.对自然垄断行业、提供重要公共产品和服务的行为,主要采用划拨土地方式
B.对一般竞争性行业,应采用出让、租赁等方式
C.承担围家计划内重点技术改造项目的,采用租赁方式
D.涉及国家安全的领域或具有战略意义的高新技术开发领域,采用作价出资方式
已帮助 138 人解答此问题 查看答案及解析
A.经济净现值
B.环境效果分析
C.财务效果分析
D.成本效用分析
E.费用效益分析
已帮助 125 人解答此问题 查看答案及解析
A.15
B.20
C.60
D.90
已帮助 54 人解答此问题 查看答案及解析
A.都适用于相同的对象
B.都不必得到财产所有权人的同意
C.都是为了抢险、救灾等紧急需要
D.都应给予公平补偿
E.都发生财产所有权的转移
已帮助 92 人解答此问题 查看答案及解析
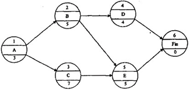
【不定项选择题】第 1 题下列工作B的时间参数计算结果中,正确的为( )。
A.自由时差为2周
B.自由时差为1周
C.总时差为0周
D.总时差为2周
已帮助 59 人解答此问题 查看答案及解析
A.26.65%
B.27.42%
C.27.96%
D.28.85%
已帮助 131 人解答此问题 查看答案及解析
A.投标人报价低于全部投标人报价的平均值
B.投标文件部分内容字迹模糊、无法辨认
C.投标人以他人名义投标
D.投标人所报价格与投标控制价有一定偏差
已帮助 91 人解答此问题 查看答案及解析
A.建筑法律法规
B.工程技术
C.企业管理
D.行政管理
E.建筑经济
已帮助 101 人解答此问题 查看答案及解析
A.公共利益与政府利益是一致的
B.公共利益小于政府利益
C.公共利益不同于政府利益
D.公共利益的主体是政府
已帮助 54 人解答此问题 查看答案及解析