【不定项选择题】第 1 题关于事件(1),材料供应商与建筑工程公司之间合同关系的说法,正确的为( )。
A.建筑工程公司不必为用于工程的木材付款,因为他们之间没有合同关系。
B.建筑工程公司暂不必为用于工程的木材付款,因为他们之间的合同关系只有正式签订书面合同后才有效
C.建筑工程公司应该为用于工程的木材付款,因为他们之间的合同关系有效
D.建筑工程公司是否需要付款必须要由仲裁机构裁决
已帮助 49 人解答此问题 查看答案及解析
A.监理大纲和监理规划
B.监理规划和委托监理合同
C.监理大纲和委托监理合同
D.监理实施细则
已帮助 103 人解答此问题 查看答案及解析
A.盈亏平衡分析是判断投资项目对市场供给变化适应能力的一种不确定性分析方法
B.盈亏平衡分析与量本利分析是两种不同的不确定性分析方法
C.盈亏平衡分析中变动成本总额与生产量总数成正比例增减变动,但单位产品的变动成本不随产量的变化而变化
D.盈亏平衡分析中变动成本总额与生产量总数成正比例增减变动,单位产品的变动成本也是同理
已帮助 73 人解答此问题 查看答案及解析
A.纳税人转让房地产
B.纳税人出售土地使用权
C.纳税人经营所得额
D.纳税人提供应税劳务
已帮助 139 人解答此问题 查看答案及解析

A.甲
B.乙
C.丙
D.都可行
已帮助 119 人解答此问题 查看答案及解析
A.盈余公积金是从企业营业收入中按法定程序提取的
B.当法定盈余公积金累计额达到公司注册资本的50%时,可不再继续提取
C.当盈余公积金累计额达到公司注册资本的10%时,可不再继续提取
D.公司分配当年税后利润时,应当按照15%的比例提取法定盈余公积金
已帮助 86 人解答此问题 查看答案及解析
A.偿债备付率
B.财务净现值
C.总投资收益率
D.资产负债率
已帮助 95 人解答此问题 查看答案及解析
,单价每平方米建筑面积1600元。假设该套住房套内建筑面积80m
,则该套住房每平方米套内建筑面积的价格为( )元。
A.1280
B.1600
C.2000
D.3200
已帮助 79 人解答此问题 查看答案及解析
A.德尔菲法
B.详细分析法
C.成本分析法
D.功能分析法
已帮助 56 人解答此问题 查看答案及解析
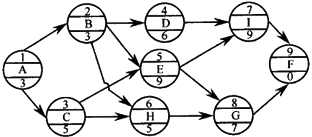
【不定项选择题】第 1 题如果在项目实施过程中各项工作进度正常,则该工程项目可以在( )周内完成。
A.20
B.23
C.26
D.28
已帮助 107 人解答此问题 查看答案及解析