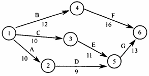
【不定项选择题】第 1 题按照图中各活动的工期,该项目的总工期将为( )天。
A.28
B.30
C.32
D.34
已帮助 169 人解答此问题 查看答案及解析
A.信函重量轻,邮程远近对其成本影响小
B.均一资费制可以简化计费手续
C.信函使用的运递工具都一样
D.均一资费制可以方便用户使用
E.信函资费水平对用户影响大
已帮助 138 人解答此问题 查看答案及解析
A.国家发展和改革委员会
B.住房和城乡建设部
C.财政部
D.道路运输行业
已帮助 50 人解答此问题 查看答案及解析
A.181
B.219
C.400
D.650
已帮助 141 人解答此问题 查看答案及解析
A.制定电信服务标准
B.成立电信用户申诉受理部门
C.测评和公布电信用户满意度
D.确保所有电信企业业务质量一致
E.表彰和鼓励电信企业提高电信服务质量
已帮助 59 人解答此问题 查看答案及解析
A.信息流
B.业务流
C.资金流
D.物流
已帮助 100 人解答此问题 查看答案及解析
A.年货物总吞吐量
B.年换算货物吞吐量
C.年货物总吞吐量净值
D.年换算货物吞吐量净值
已帮助 44 人解答此问题 查看答案及解析
A.完全无弹性
B.富有弹性
C.单位弹性
D.缺乏弹性
已帮助 95 人解答此问题 查看答案及解析
A.通勤客流
B.消费性客流
C.上学形成的客流
D.节日活动形成的客流
已帮助 106 人解答此问题 查看答案及解析
A.托盘
B.集装箱
C.叉车
D.载货车辆
已帮助 64 人解答此问题 查看答案及解析