A.要求投标人具有履行合同的能力
B.要求投标人具有独立订立合同的权力
C.要求投标人与指定的材料供应商合作
D.要求投标人在最近三年内没有重大工程质量问题
已帮助 133 人解答此问题 查看答案及解析
A.物业类型构成及布局
B.项目出入口设置
C.项目空间尺度安排
D.项目用地规划布局
E.道路网络规划
已帮助 141 人解答此问题 查看答案及解析
A.10%
B.20%
C.30%
D.40%
已帮助 106 人解答此问题 查看答案及解析
A.10%
B.15%
C.20%
D.25%
已帮助 67 人解答此问题 查看答案及解析
A.利率水平
B.通货膨胀
C.房地产市场价格
D.政府政策
E.房地产开发成本
已帮助 61 人解答此问题 查看答案及解析
A.2个月
B.3个月
C.5个月
D.半年
已帮助 77 人解答此问题 查看答案及解析
A.架空通风屋面
B.种植屋面
C.倒置式屋面
D.蓄水屋面
已帮助 53 人解答此问题 查看答案及解析
A.工程组织策划
B.工程构成策划
C.工程融资策划
D.工程目标策划
E.工程定位策划
已帮助 52 人解答此问题 查看答案及解析
A.装配式混凝土厂房采用钢结构屋架
B.钢结构建筑中采用混凝土叠合楼板
C.在钢管柱内现浇混凝土
D.装配式钢筋混凝土外筒与钢结构柱梁组合
已帮助 31 人解答此问题 查看答案及解析

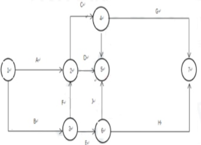
A.有多个终点节点
B.有多个起点工作
C.逻辑关系不正确
D.节点编号有错误
E.出现循环回路
已帮助 48 人解答此问题 查看答案及解析