A.装卸时间
B.等待时间
C.空闲时间
D.运输时间
E.转换时间
已帮助 89 人解答此问题 查看答案及解析
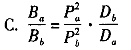
【不定项选择题】第 1 题C都市位于A都市和B都市之间。如果B
。是A都市从C都市吸引来的零售额,B
是B都市从C都市吸引来的零售额;P
是A都市人口,P
是B都市人口;D
是A都市与C都市之间的距离,D
是B都市与C都市之间的距离。那么雷利的零售引力法则数学表达式是( )。
A.
B.
C.
D.
已帮助 75 人解答此问题 查看答案及解析
A.在管理手段上,大量运用计算机系统
B.在生产物流的组织上,以物料为中心
C.强调物流平衡,追求零库存
D.在生产物流计划编制和控制上,围绕物料转化组织制造资源
E.以最终用户的需求为生产起点
已帮助 63 人解答此问题 查看答案及解析
A.价值分析法
B.期望值决策
C.马尔可夫决策
D.贝叶斯决策
E.矩阵分析表法
已帮助 133 人解答此问题 查看答案及解析
A.8%
B.16%
C.40%
D.80%
已帮助 147 人解答此问题 查看答案及解析
A.在生产物流的具体作业环境可以使用各种先进的技术设备,提供劳动生产率
B.由于生产的重复程度高、稳定,容易制订相关的物料需求计划,所以对物料很容易控制
C.由于产品结构相对稳定,从而物料的消耗定额能准确制定
D.容易与供应商建立长期稳定的协作关系,采购物流也很容易控制
E.要求全程物流的支持,需建立一个有效的供应链网络
已帮助 135 人解答此问题 查看答案及解析
A.2
B.2.3
C.2.5
D.3
已帮助 47 人解答此问题 查看答案及解析
A.网络软文营销
B.网络直复性营销
C.网络知识性营销
D.博客营销
已帮助 103 人解答此问题 查看答案及解析
A.应知考核
B.技能考核
C.知识考核
D.实际操作考核
已帮助 126 人解答此问题 查看答案及解析
A.定量控制法要求企业随机向供货商发出固定批量的订货请求
B.定量控制法要求企业在库存量达到某一预定数值(订货点)时,即向供货商发出不固定批量的订货请求
C.定期控制法要求企业每隔一个固定的间隔周期向供货商发出不固定批量的订货请求
D.定期控制法要求企业每隔一个固定的间隔周期向供货商发出固定批量的订货请求
已帮助 87 人解答此问题 查看答案及解析