A.生鲜食品
B.汽车制品
C.烟草制品
D.卫生用品
已帮助 140 人解答此问题 查看答案及解析
A.一般债务纳入一般公共预算管理
B.地方政府举债可用于经常性支出
C.地方政府举债要遵循市场化原则
D.地方政府债务分为一般债务和专项债务两类
E.专项债务纳入政府性基金预算管理
已帮助 85 人解答此问题 查看答案及解析
A.总体参数
B.样本统计量
C.样本
D.总体
已帮助 79 人解答此问题 查看答案及解析
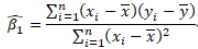
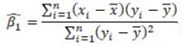
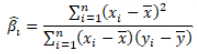
的最小二乘估计量表达式是()。 A.
B.
C.
D.
已帮助 140 人解答此问题 查看答案及解析
A.弗里德曼的消费理论
B.莫迪利安尼的消费理论
C.科斯的消费理论
D.凯恩斯的消费理论
已帮助 144 人解答此问题 查看答案及解析
A.当技术水平发生变化时生产函数不会发生变化
B.研究企业短期行为的前提是各种投入要素都是可变的
C.生产函数是最大产量与投入要素之间的函数关系
D.一般假设生产要素在生产过程中不可相互替代
已帮助 104 人解答此问题 查看答案及解析
A.有限责任公司
B.合伙企业
C.上市公司
D.股份有限公司
已帮助 134 人解答此问题 查看答案及解析
A.合同解除必须有解除行为
B.合同解除可以使合同关系消灭
C.合同解除的条件必须是法定的
D.合同解除仅用于有效成立的合同
已帮助 65 人解答此问题 查看答案及解析
A.工资和利率的互补效应
B.劳动和闲暇的互补效应
C.工资增加的替代效应
D.工资和租金的互补效应
已帮助 82 人解答此问题 查看答案及解析
A.对政府的项目主要体现在列入资产方的接受政府存款和列入负债方的对政府债权
B.不计入储备货币的金融性公司存款列入资产方
C.自有资金列入负债方
D.外汇、货币黄金列入资产方的国外资产项目
E.储备货币是负债方的主要项目
已帮助 137 人解答此问题 查看答案及解析