A.高级技术
B.尖端技术
C.原始技术
D.落后技术
E.中间技术
已帮助 135 人解答此问题 查看答案及解析
A.一
B.二
C.三
D.四
已帮助 128 人解答此问题 查看答案及解析
A.技术达到最新标准
B.正常使用
C.确定设备的最佳更新期
D.对设备进行维护保养
已帮助 39 人解答此问题 查看答案及解析
A.复杂程度
B.饱和程度
C.内容和形式的变化
D.内容和形式的变化
已帮助 140 人解答此问题 查看答案及解析
A.每股收益最大化
B.利润最大化
C.股东财富最大化
D.企业价值最大化
已帮助 81 人解答此问题 查看答案及解析
A.4550
B.4650
C.5350
D.5450
已帮助 39 人解答此问题 查看答案及解析
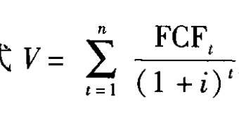
为企业价值最大化的理论模型(式中,FCFt表示第t年的自由现金流量;i为折现率)。模型中的与企业()有关。 A.风险
B.每年自由现金流量
C.每年报酬
D.取得报酬的时间
已帮助 102 人解答此问题 查看答案及解析
A.分离交易可转债
B.商业信用
C.融资租赁
D.短期融资券
已帮助 105 人解答此问题 查看答案及解析
A.流动资产
B.固定资产
C.速动资产
D.无形资产
已帮助 127 人解答此问题 查看答案及解析
A.GB/T 19001—2008 idt ISO 9001:2008(质量管理体系 要求》
B.GB/T 19004—2009 idt ISO 9004:2009《质量管理体系 业绩改进指南》
C.GB/T 19000—2008 idt ISO 9000:2005《质量管理体系 基础和术语》
D.GB/T 19011—2003 idt ISO 19011:2002《质量和(或)环境管理体系审核指南》
已帮助 87 人解答此问题 查看答案及解析