A.Ⅰ.Ⅱ.Ⅳ
B.Ⅰ.Ⅲ.Ⅳ
C.Ⅱ.Ⅲ
D.Ⅰ.Ⅱ.Ⅲ.Ⅳ
已帮助 102 人解答此问题 查看答案及解析
A.III、IV
B.II、III
C.II、IV
D.I、II
已帮助 108 人解答此问题 查看答案及解析
A.Ⅰ、Ⅱ、Ⅲ
B.Ⅰ、Ⅳ
C.Ⅰ、Ⅲ、Ⅳ
D.Ⅰ、Ⅱ、Ⅲ、Ⅳ
已帮助 63 人解答此问题 查看答案及解析
A.Ⅰ、Ⅳ
B.Ⅱ、Ⅳ
C.Ⅰ、Ⅱ、Ⅲ
D.Ⅰ、Ⅱ、Ⅳ
已帮助 106 人解答此问题 查看答案及解析
A.I、II、III、IV
B.I、II、IV
C.II、III、IV
D.I、IV
已帮助 75 人解答此问题 查看答案及解析
A.从业人员与客户的交谈
B.政府部门或金融机构公布的信息中获得的宏观经济信息
C.客户的资产状况
D.交谈和数据调查表相结合
已帮助 124 人解答此问题 查看答案及解析
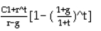
Ⅱ、生活费支出、教育费支出和房贷支出都属于期初年金Ⅲ、(期初)增长型永续年金的现值计算公式(r>g)为PV=
Ⅳ、NPV越大说明投资收益越高
A.Ⅰ、Ⅱ、Ⅲ
B.Ⅰ、Ⅱ、Ⅳ
C.Ⅰ、Ⅲ、Ⅳ
D.Ⅱ、Ⅲ、Ⅳ
已帮助 103 人解答此问题 查看答案及解析
A.II、III
B.I、II、IV
C.III、IV
D.I、II、III
已帮助 45 人解答此问题 查看答案及解析
A.Ⅰ、Ⅱ、Ⅲ、Ⅳ
B.Ⅰ、Ⅱ、Ⅳ
C.Ⅰ、Ⅲ、Ⅳ
D.Ⅰ、Ⅱ、Ⅲ
已帮助 83 人解答此问题 查看答案及解析
A.I、Ⅱ、Ⅲ
B.I、Ⅱ、Ⅳ
C.I、Ⅲ、Ⅳ
D.I、Ⅱ、Ⅲ、Ⅳ
已帮助 113 人解答此问题 查看答案及解析